Ultrasonic thickness measurement (UTM) is a nondestructive testing (NDT) method used to determine the thickness of materials (e.g., metals, plastics, composites) by sending highfrequency sound waves through them and measuring the time taken for echoes to return.

1. Basic Principles
The technique relies on ultrasonic wave propagation and echo timing:
Ultrasonic waves travel at a known speed (velocity) through a material.
The sensor (transducer) emits a pulse and measures the time taken (time of flight, TOF) for echoes to bounce back from the opposite surface or interfaces.
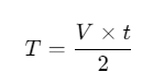
The thickness (\(T\)) is calculated using:

Where:
\(V\) = Speed of sound in the material (mm/µs or in/µs)
\(t\) = Time delay between pulse emission and echo reception (µs)
Divided by 2 because the sound travels twice (down and back).

2. Key Components
A typical ultrasonic thickness gauge consists of:
1. Piezoelectric Transducer: Converts electrical energy into ultrasonic waves and vice versa.
2. Pulser/Receiver: Generates highvoltage pulses and amplifies weak echo signals.
3. Display & Processing Unit: Calculates and displays thickness readings.
4. Couplant (Water, gel, or oil): Ensures efficient sound wave transfer into the material (air blocks ultrasound).

3. Measurement Modes
Ultrasonic thickness gauges operate in two main modes:
A. PulseEcho Mode (Standard Method)
Used for singlesided measurement (only one surface accessible).
The transducer sends a pulse that reflects off the back wall.
The gauge measures time delays between initial pulse and echo.
Best for homogeneous materials like steel, plastic, or glass.
B. ThroughTransmission Mode
Requires access to both sides of the material.
One transducer emits waves, another receives them (no echoes).
Useful for laminated materials, coatings, or composites where echoes are weak.

4. Factors Affecting Accuracy
Material Velocity (Calibration is required!).
Surface Condition (Rough surfaces scatter signals).
Temperature (Affects sound speed).
Couplant Quality (Ensures good contact).
Material Structure (Layers or corrosion can interfere).

5. Applications
Ultrasonic thickness measurement is widely used in:
✅ Corrosion Monitoring (Pipes, tanks, vessels)
✅ Aerospace & Automotive (Thin metal sheets, composite materials)
✅ Marine & Offshore (Hull thickness inspection)
✅ Manufacturing Quality Control
✅ Oil & Gas Pipelines (Prevent leaks/integrity checks)
6. Advantages & Limitations
✔ Advantages
Nondestructive (no material damage).
Fast & portable (handheld devices available).
Works on metals, plastics, ceramics, and more.
Can measure internal corrosion without cutting.

❌ Limitations
Requires surface cleaning & couplant.
Less accurate on porous or rough surfaces.
Not suitable for foam, very thin (<0.1mm), or multilayer materials.
Ultrasonic thickness measurement is a reliable, widelyused NDT method that calculates material thickness by analyzing sound wave echoes. It is essential for safety inspections, maintenance, and quality assurance across industries.
Would you like details on specific instruments or calibration methods? Let me know!
WhatsApp scan code
support hotline+86 22 2754 6357
mobile phone+86 133 8800 2188
Add:Room 706, 7th Floor, Lishen Datong Media Building, 338 Huanghe Road, Nankai District, Tianjin,China 津ICP备13000829号-1 XML